Physiotherapy programme reduces fatigue in patients
with advanced cancer receiving palliative care: randomized
controlled trial
Support Care Cancer (2017) 25:2899–2908
https://www.ncbi.nlm.nih.gov/pubmed/28508278
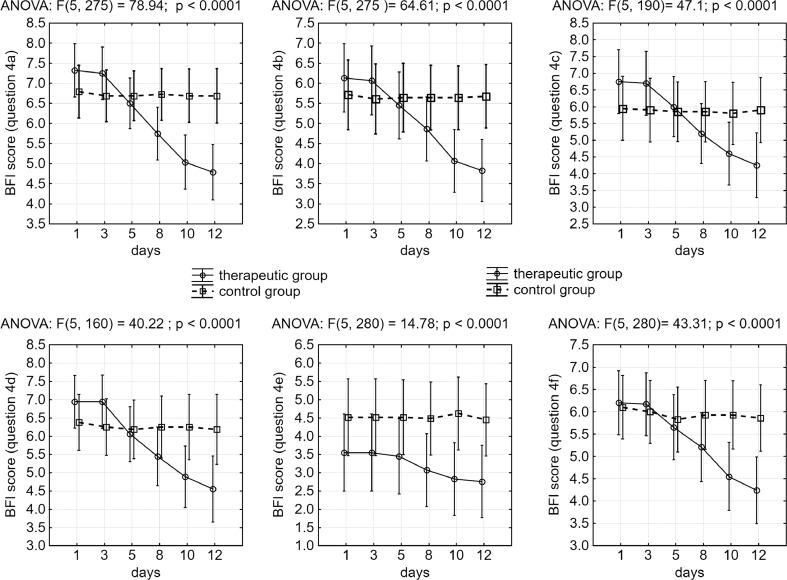
<目的>
がん関連倦怠感(CRF)は、進行したがん患者に共通してみられる共通した症状であり、QOLを低下させる。目的は、理学療法プログラムがCRFやその他の症状に対する効果を評価すること。
<方法>
無作為化試験にて実施。60人の患者が進行したがんと診断され、緩和ケアを受けている。無作為に治療群(30人)と対照群(30人)に無作為に分けて検討。
治療は、週3回を2週間。内容は、自動運動、筋膜リリース、PNFテクニック。
対照群は運動は行わない。
アウトカムは、Brief Fatigue Inventory (BFI)、Edmonton Symptom
Assessment Scale (ESAS)、満足度スコア。
<結果>
運動プログラムは、倦怠感の重症度や日常機能への影響におけるBFIスコアが著明に軽減した。
対照群では、BFIスコアは変化しなかった。さらに、理学療法プログラムは、患者自身のwell-beingを向上させ、疼痛や眠気、食欲不振や抑うつのような合併症の強度も軽減した。
満足度スコアの分析でも、ポジティブな結果が得られた。
<考察>
自動運動、筋膜リリース、PNFを用いた理学療法プログラムは、緩和ケアを受けている進行したがん患者に対して、疲労感やその他の症状に有効である。
この結果は、理学療法がCRFマネジメントの方法として安全で有効な方法であることを示唆した。
・介入内容
自動運動(上下肢運動)、筋膜リリース、PNFtechnic
・理学療法は同じセラピストが担当。
・評価は介入時に同時に評価(週3回)
・疲労感の軽減は1週間を超えたあたりから自覚されている傾向に。
2019/05/31
2019/05/14
SPPBのMCD(1点)
Meaningful Change and Responsiveness in Common Physical Performance Measures in Older Adults
J Am Geriatr Soc (IF: 4.155) 2006 May;54(5):743-9.
https://www.ncbi.nlm.nih.gov/pubmed/16696738
<目的>
身体機能評価とそれら評価の反応性について最小の有効改善値を推定すること。
<デザイン>
最小有効変化を決めるためにディストリビューション、アンカーを用いて分析。
地域高齢者と亜急性脳卒中生存者の臨床試験データを使用。
<対象>
筋力トレーニング試験を実施した移動能力制限のある高齢者(n=100)
介入試験を行った亜急性脳卒中患者(n=100)
地域高齢者の前向きコホート(n=492)
<評価>
歩行速度、SPPB、6MWT、自己評価活動性。
<結果>
最も最小の有効改善値の幅(most small meaningful change)は、
歩行速度:0.04-0.06m/s
SPPB:0.27-0.55点
6MWD:19-22m
最も実用的な推定変化(most substantial change)は
歩行速度:0.08-0.14m/s
SPPB:0.99-1.34点
6MWD:47-49m
<考察>
最良の最小変化値は、歩行速度は約0.05m/s、SPPBは約0.5点、6MWDは20m
実用的な変化は、歩行速度は約0.10m/s、SPPBは1点、6MWDは50mであった.
臨床使用において、SPPBを除いて、歩行速度と6MWDにおいて、著明な変化と最小の変化が得られた。
これらの測定は、有効な変化を探索するための十分なサンプルサイズを提示した。
J Am Geriatr Soc (IF: 4.155) 2006 May;54(5):743-9.
https://www.ncbi.nlm.nih.gov/pubmed/16696738
<目的>
身体機能評価とそれら評価の反応性について最小の有効改善値を推定すること。
<デザイン>
最小有効変化を決めるためにディストリビューション、アンカーを用いて分析。
地域高齢者と亜急性脳卒中生存者の臨床試験データを使用。
<対象>
筋力トレーニング試験を実施した移動能力制限のある高齢者(n=100)
介入試験を行った亜急性脳卒中患者(n=100)
地域高齢者の前向きコホート(n=492)
<評価>
歩行速度、SPPB、6MWT、自己評価活動性。
<結果>
最も最小の有効改善値の幅(most small meaningful change)は、
歩行速度:0.04-0.06m/s
SPPB:0.27-0.55点
6MWD:19-22m
最も実用的な推定変化(most substantial change)は
歩行速度:0.08-0.14m/s
SPPB:0.99-1.34点
6MWD:47-49m
<考察>
最良の最小変化値は、歩行速度は約0.05m/s、SPPBは約0.5点、6MWDは20m
実用的な変化は、歩行速度は約0.10m/s、SPPBは1点、6MWDは50mであった.
臨床使用において、SPPBを除いて、歩行速度と6MWDにおいて、著明な変化と最小の変化が得られた。
これらの測定は、有効な変化を探索するための十分なサンプルサイズを提示した。
2019/05/10
肺がん術後早期離床のアドヒアランスとアウトカムの関係
In-Hospital Mobilization, Physical Fitness, and Physical Functioning After Lung Cancer Surgery.
Ann Thorac Surg (IF: 3.779) 2019 Jan 25.
https://www.ncbi.nlm.nih.gov/pubmed/30690020
<背景>
臨床的経験や理論的検討事項とは別に、肺がん切除術後の患者の機能的な回復と関連した入院中のプロトコルのアドヒアランスレベルに関するエビデンスは不足している。
目的は、1)入院モビライゼーションプロトコルのアドヒアランスと退院時の身体機能の関係について、2)術後6週間、3ヵ月の身体機能を退院時の身体機能から予測できるかを検討すること。
<方法>
肺がん切除術を行った62人の患者が対象。病院でのプロトコルのアドヒアランスは記録から収集。身体機能は、術前と退院時の握力、30秒起立テスト、6MWT。
患者記入の身体機能は、SF-36の身体機能スコアを使用。
直線回帰分析で交絡因子を調整し、関連を分析した。
<結果>
プロトコルの順守レベルは、独立して、退院時の握力、起立テスト、6MWTと著明に関連していた。
退院時の握力と6MWTは、術後6週と3ヵ月のSF-36身体機能を予測した。
起立テストは、6週間時点のSF-36身体機能を唯一予測した。
<考察>
肺がん切除術後の準適切化された術後モビライゼーションは、退院時の身体機能にネガティブに影響した。
今回の結果は、術後早期モビライゼーションプロトコルのアドヒアランスの重要性を強調した。
退院時の身体機能測定は、退院後リハビリテーションが必要な患者を選択するための情報を提供できるかも知れない。
ーーーーーーーーー
プロトコルからの逸脱は、術後アウトカムに影響する。
Ann Thorac Surg (IF: 3.779) 2019 Jan 25.
https://www.ncbi.nlm.nih.gov/pubmed/30690020
<背景>
臨床的経験や理論的検討事項とは別に、肺がん切除術後の患者の機能的な回復と関連した入院中のプロトコルのアドヒアランスレベルに関するエビデンスは不足している。
目的は、1)入院モビライゼーションプロトコルのアドヒアランスと退院時の身体機能の関係について、2)術後6週間、3ヵ月の身体機能を退院時の身体機能から予測できるかを検討すること。
<方法>
肺がん切除術を行った62人の患者が対象。病院でのプロトコルのアドヒアランスは記録から収集。身体機能は、術前と退院時の握力、30秒起立テスト、6MWT。
患者記入の身体機能は、SF-36の身体機能スコアを使用。
直線回帰分析で交絡因子を調整し、関連を分析した。
<結果>
プロトコルの順守レベルは、独立して、退院時の握力、起立テスト、6MWTと著明に関連していた。
退院時の握力と6MWTは、術後6週と3ヵ月のSF-36身体機能を予測した。
起立テストは、6週間時点のSF-36身体機能を唯一予測した。
<考察>
肺がん切除術後の準適切化された術後モビライゼーションは、退院時の身体機能にネガティブに影響した。
今回の結果は、術後早期モビライゼーションプロトコルのアドヒアランスの重要性を強調した。
退院時の身体機能測定は、退院後リハビリテーションが必要な患者を選択するための情報を提供できるかも知れない。
ーーーーーーーーー
プロトコルからの逸脱は、術後アウトカムに影響する。
登録:
コメント (Atom)
-
The Clinical Utility of the Functional Status Score for the Intensive Care Unit (FSS-ICU) at a Long-Term Acute Care Hospital: A Prospective...
-
Validation of test performance characteristics and minimal clinically important difference of the 6-minute walk test in patients with idiopa...
-
SPPB評価方法 https://www.nia.nih.gov/research/labs/leps/short-physical-performance-battery-sppb 1.バランス A.立位保持 足をそろえて立位を10秒保持する 腕や膝を使って、バラ...

