2021/03/30

増悪後リハの紹介や利用率に関する検討

Brief communication
COPD discharge bundle and pulmonary rehabilitation referral and uptake following hospitalisation for acute exacerbation of COPD

 Thorax 2021;0:1–3. 


<背景>
COPD急性増悪(AECOPD)で入院している患者の呼吸リハ(PR)は、運動耐容能、QOL、再入院減少などの効果が得られる。
しかし、入院後PRの紹介や利用率は少ない。
この291件のAECOPDを対象にした前向きコホート研究では、PR実践者によるCOPD退院バンドルが、PRを行っていない者と比べ、PR紹介率(60% vs 12%)や利用率(40% vs 32%)は高かった。
病院とPRサービスの緊密な連携が、入院後PRの利用率や紹介を向上させるかもしれない。

2021/03/22

大腸がん術前の身体活動は術後合併症と関連

Self-assessed preoperative level of habitual physical activity predicted postoperative complications after colorectal cancer surgery: A prospective observational cohort study

Eur J Surg Oncol (IF: 3.959; Q1). 2019 Nov;45(11):2045-2051.


<背景>
術後の回復に関連した身体活動は関心が増している。
術後回復を評価するための重要なのは、術後合併症である。
目的は、大腸がん手術を行った患者の、術前の習慣的な身体活動と術後合併症の関係について検討する事。

<方法>
115人の大腸がん予定手術を行った患者を選択。身体活動にとその他ベースラインの変数を質問。
身体活動は、Saltin-Grimby physical activity level scaleを使用。
術後30日以内の合併症をClavien-Dindoによって分類し、包括的合併症インデックスComprehensive Complications Index (CCI)で計算した。
プライマリーアウトカムは、CCIの違い、セカンダリーアウトカムはCCI≧20となるリスク。

<結果>
身体不活動は、軽度身体活動よりもCCIが12ポイント高く(p=0.002)、通常の身体活動よりも17ポイント高かった(p=0.0004)。
個別の不活動は、CCI≧20のリスクであり、軽度身体活動よりも65%高く、通常の身体活動よりも338%高かった。

<考察>
大腸がん手術前の患者報告の習慣的身体活動は、CCIで評価したいくつかの術後合併症と量反応関係的(dose-response relationship)に関連していた。


※Saltin-Grimby physical activity level scale
レジャーに関する身体活動を評価する質問表。1968年に発表され、運動耐容能との妥当性や罹患率や死亡率との妥当性に優れている。

※Clavien-Dindo

2021/03/20

術前PAレベルは術後アウトカムに関連するか(肺がん sr and meta-analysis)

Is preoperative physical activity level of patients undergoing cancer surgery associated with postoperative outcomes? A systematic review and meta-analysis

Eur J Surg Oncol (IF: 3.959; Q1). 2019 Apr;45(4):510-518.


<背景>
術前身体活動(PA)レベルと術後アウトカムへの影響、特に肺がん手術を行う患者については明らかになっていない。

<目的>
肺がん手術を行う患者を対象に、術前PAレベルが術後の合併症、入院日数(LOS)、QOLと関連するかを検証すること。

<方法>
2017年11月にMEDLINEなどでPAレベルと術後合併症、LOS、QOLを対象にした研究を探索。バイアスリスクは、Quality in Prognosis Studies (QUIPS) toolを用いて評価。
可能であれば、ランダム効果モデルを用いて、オッズ比や95%信頼区間を算出。

<結果>
13の研究が対象(5523人)。多くの研究で、低いもしくは中等度のバイアスあり。
より高い術前PAレベルは術後合併症の減少とは関連していなかった(OR = 2.60; 95%CI = 0.59 to 11.37) 
LOSの短縮 (OR = 3.66; 95%CI = 1.38 to 9.6)、術後QOL(OR = 1.29; 95%CI = 1.11 to 1.49).とは関連していた。

<考察>
今回の文献では、より高い術前PAレベルの患者は、より術後のアウトカムが良好であり、LOSが短く、QOLが良いことを示唆した。
より高い質の研究で、術前PAと術後アウトカムの関連についての研究が必要である。

2021/03/17

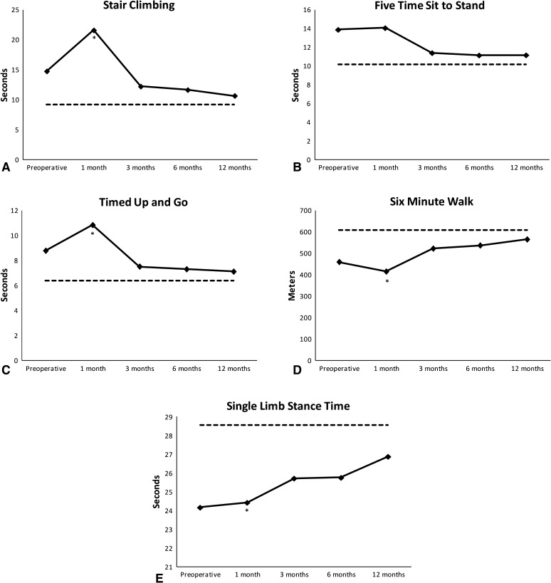
THA術後の筋力回復と機能の回復過程

Muscle strength and functional recovery during the first year after THA

Clin Orthop Relat Res (IF: 4.329; Q1). 2014 Feb;472(2):654-64.


<背景>
THAを行った患者は、手術後、疼痛の軽減と機能向上により満足している。一方、筋力とパフォーマンス機能は十分回復しないが、その特性は明らかになっていない。
筋力やパフォーマンスに関するTHA後の最適な回復は、リハビリプログラムによる影響かもしれない。

<目的>
1)術後の筋力、機能、QOLを1年間追跡
2)1年後の筋力、機能のを健常者コホートと比較

<方法>
26人のTHA術後患者を1,3,6,12か月後に評価。対照群に19人の股関節疾患の無い患者をおいた。
等尺性筋力(股関節屈曲、伸展、外転、膝伸展、屈曲)
パフォーマンス機能(階段昇降、5回起立、TUG、6MWT、片足立位)
QOL(Hip Disability and Osteoarthritis Outcome Score、SF-36、UCLA activity score)

<結果>
THA1ヶ月後
関節屈曲、伸展トルクは15%減少、外転トルク26%減少、膝伸展、屈曲トルク14%減少
パフォーマンス:階段、TUG、6WMTは低値

健常者と比較した、THA12か月後
膝伸展17%減少、膝屈曲23%減少
パフォーマンス(階段、5回起立、6MWT):健常者と明らかな違い無し
SF-36身体的スコアは、術前よりも明らかに向上しているが、健常者よりも低下している

<考察>
THA後の患者は、術後早期に筋力低下とパフォーマンス低下を経験しており、回復後も筋力は不足したままであった。
リハビリテーションは、術後1ヶ月以内が最も効果的かもしれない。

筋力の回復過程



パフォーマンスの回復過程
術後3か月経つと、おおむね術前と同程度に戻っている


2021/03/13

肺がん術前身体活動と術後身体活動、入院日数は関係するか。

Functional Recovery After Lung Resection: A Before and After Prospective Cohort Study of Activity

Ann Thorac Surg (IF: 3.639; Q1). 2019 Jan;107(1):209-216.


<背景>
術後の回復は胸部外科において重要な指標である。患者の活動モニターは術前後において追跡が可能である。
術前の身体活動、肺切除範囲、術式と、活動量計を用いた入院と外来での身体活動の回復の関係を調査した。

<方法>
前向き観察コホート研究。手術の30日前から術後30日間まで活動量計を装着。
活動量は、歩数で記録。3つのグループに分けた。
術前と術後の身体活動、入院日数(Length of stay:LOS)、術式の関係について、患者背景や臨床特性、手術の詳細を補正した一般化された回帰モデルを用いて評価。

<結果>
66人の患者が参加。平均年齢66.1歳、女性32人
低活動(21人)、中等度活動(27人)、高活動(18人)に分類。
性別、併存症、切除範囲、術式にグループ間に違いはなかった。
年齢、併存症、切除範囲、術式、合併症で補正したモデルにおいて、術前高活動は入院、外来ともに術後の高活動と関連していたが、LOSとは関係なかった。

<考察>
LOSはいくつかの要因で補正後、術前と術後の身体活動とは関連していなかった。
しかし、術前と術後の活動の関係は、年齢や術式、切除範囲やその他の要因に関係なかった。
入院と外来患者において、回復過程をデザインし、介入を行うための枠組みを提供した。

・LOSや合併症、再入院、死亡率のような術後回復に関するアウトカムの研究は盛んにおこなわれている。
・術後の活動が遅くなると、予防可能な合併症を引き起こす可能性がある。さらに、高い身体活動は、QOL向上、慢性疾患の予防、精神障害の予防に関連する。
・この研究の目的は、肺切除術を行った患者の術前と術後の身体活動を測定し、より高い身体活動レベルがLOSを減少させるかについて検討すること。

・2015-2017年に単施設(Virginia Mason Medical Center, Seattle, WA)で行われた観察研究。
・活動量測定には、Fitbit Zipを使用。
→低コスト($50)でバッテリー持ちがよく、記録ができる。足首にストラップで装着。

・歩数を測定し、術前30日間と術後入院期間を含め30日間装着。
・患者報告型の活動量(the Rapid Assessment of Physical Activity (RAPA) questionnaire)も、開始時、術後初回外来時に評価。




2021/03/12

フレイルのカットオフ値(SPPB≦8点)

Diagnostic Accuracy of the Short Physical Performance Battery for Detecting Frailty in Older People

Phys Ther (IF: 3.14; Q1). 2020 Jan 23;100(1):90-98. 


<背景>
SPPBは高齢者の健康関連アウトカムの悪化予測に広く用いられる。
しかし、フレイルのカットオフ値は検討されていない。

<目的>
地域在住高齢者を対象に、フレイル探索のためのSPPBのカットオフ値を決めること。

<方法>
都市エリアに在住する65歳以上の住民744人を対象。
フレイルは、3つ以上の項目に該当すると確定:意図しない体重減少、疲労感、虚弱、低身体活動、緩慢さ。
SPPBカットオフ値の測定は、フレイル、プレフレイルをROC曲線で算出。
フレイルとプレフレイルのオッズ比、信頼区間が最も良いカットオフ値を採用。
ブートストラップ分析で、内的妥当性を確認した。

<結果>
フレイルのカットオフ値は8点以下(感度79.7%、特異度52.8%、AUC0.85 Youden J statistic = 0.53、正の尤度比=3.05)
プレフレイルのカットオフ値は10点以下(感度75.5%、特異度52.8%、AUC0.76 Youden J statistic = 0.28、正の尤度比=1.59)
フレイルとなるオッズ比は7.44倍(95% CI = 3.90-14.19)
プレフレイルとなるオッズ比は2.33倍 (95% CI = 1.65-3.30)

<研究限界>
別のデータを使用した外部検証は行っていない。
横断的デザインでは、SPPBの予測能力を確立できない。

<考察>
SPPBは地域在住高齢者のフレイルを探索するスクリーニングツールとなり得るかもしれない。
しかし、カットオフ値は、その他のサンプルでも検証しさらなる妥当性の検討段階をすべきである。

2021/03/10

5回起立テストで、COPDの増悪を予測

The five-repetition sit-to-stand test is a predictive factor of severe exacerbations in COPD

Ther Adv Chronic Dis (IF: 4.257; Q1). 2021 Jan 22;12:2040622320986718.


<背景>
6MWTはCOPD増悪の予測として使用されているが、5回起立テスト(5 sit to stand:5sts))や4m歩行速度(4MGS)のような、より迅速かつ簡便なテストが増悪と関連いていないか検討が必要である。

<目的>
安定期COPD患者において、5STSや4MGSが年間の重症増悪を予測できるかを検討することと、入院のハイリスク患者を同定する最も優れたテストを検証すること。

<方法>
137人の安定期COPD患者。
多変量ロジスティック回帰モデルにて、6WMT、5sts、4MGSのうち、重症増悪と最も関連しているものを検証。
ROC曲線とAUC(曲線下面積)にて、それぞれのテストの重症増悪患者を同定する値を算出。
※5回起立、4m歩行速度は、SPPBのスコアリングを使用。

<結果>
年齢、前年の増悪回数で補正したモデルにおいて、6MWT<350m、5STS≦2点は、重症増悪と関連していた。
5STSと6MWTは非常によく似た予測と識別能力に優れていた。
重症増悪を予測するオッズ比は、6MWT<350mで3.2倍、5STS≦2点で3.84倍
AUCは6MWT0.793、5STS0.783

<考察>
5STSはCOPD患者の1年間追跡期間中の重症増悪のリスクを予測した。
5STSは入院ハイリスク患者の同定するために、6MWTと置き換えることができるかもしれない。

2021/03/07

周術期リハの終了基準

Discharge criteria from perioperative physical therapy

Chest (IF: 8.308; Q1). 2002 Feb;121(2):488-94. 


<目的>
周術期理学療法から退院すべき患者の評価指標としての、退院基準とスコアリングシステムの妥当性と信頼性について検討すること。

<方法>
術後理学療法退院スコアリングツール(the postoperative physiotherapy discharge scoring tool (POP-DST))は、患者が周術期リハを終了すべきかをスコアリングするツールである。
5項目(移動、呼吸音、拝痰、酸素化、呼吸数)で構成され、6点から15点でスコアリングする。
13点以上が退院基準。
POP-DSTの妥当性は、フォーカスグループと郵送アンケートで検討。
検者間信頼性は、2人のセラピストに術後の患者を評価させた。
妥当性は、POP-DSTスコアとセラピストの判断する退院基準との比較で検証。
加えて、PTを終了する患者は、7-10日フォローし、呼吸器症状の悪化が無いかを追跡した。
対象は、144人の周術期患者。

<結果>
検者間信頼性は、中等度の高さであった(級内相関係数0.76、r=0.77)。
このツールでの終了基準とセラピスト判断の終了基準に強い関連を認めた(kappa range 0.91-0.96)
POP-DSTで術後肺合併症が進行しない患者の予測能力は94%。

<考察>
POP-DSTは術後の患者におけるPTを終了するかの意思決定を促すツールであった。
強い妥当性、信頼性を示した。
より完全な妥当性を示せるよう検証すべきである。

2021/03/05

膝伸展筋力のカットオフ(26.2kgで6MWD≦350m)

Functionally Relevant Threshold of Quadriceps Muscle Strength in Patients with Chronic Obstructive Pulmonary Disease

Progress in Rehabilitation Medicine 2021; Vol. 6, 20210008


<背景>
大腿四頭筋力(the quadriceps muscle strength (QMS))の男性COPD患者における運動耐容能が低下している閾値を同定すること。

<方法>
大腿四頭筋等尺性収縮力(QMVC)と体重、身長の2乗、BMIで計算されたQMVCを113人のCOPD患者で算出。
運動耐容能は6MWTで評価。6MWD350m以下を耐久性低下と定義。
最も高い感度(0.9以上)となるQMVCのカットオフを同定。

<結果>
99人の男性患者(年齢74歳、%FEV1.0 56.9%)が対象。
年齢、息切れで補正した多変量ロジスティック回帰モデルにてQMVCとQMVCを身長の2乗で補正した値が最も6MWDと関係していた。
運動耐容能と比較して、QMVCとQMVC-H²のカットオフ値は、それぞれ26.2kgと9.6kg/m²であった。

<考察>
男性COPD患者のQMSのカットオフは、6MWD350m以下であることを予測し、呼吸リハプログラムにおいて、特異的な筋力トレーニングを行うべきである。

2021/03/01

大腿骨頚部骨折術前のアルブミン値が、術後肺炎の予測因子

 Preoperative Serum Albumin Level As A Predictor Of Postoperative Pneumonia After Femoral Neck Fracture Surgery In A Geriatric Population

Clin Interv Aging (IF: 3.023; Q1). 2019 Nov 13;14:2007-2016. 


<目的>
大腿骨頚部骨折は、高齢者に多い。術後肺炎は、致命傷であり、術後の合併症として最も多い。
しかし、低アルブミン血症の患者が術後肺炎の発症しやすさが懸念されているが、検討したものはない。
新たに発症した術後肺炎と低アルブミン血症の関係を検討し、低アルブミン血症が高齢者で大腿骨頚部骨折後の肺炎発症の独立したリスク因子となるかについて検討した。

<方法>
西安市赤十字会医院(中国)で2018年に大腿骨頚部骨折の手術を行った65歳以上の患者
術後30日間の記録を後方視的に検索
術後肺炎のあったグループとなかったグループに分け、臨床的特性を比較。
2項ロジスティック回帰分析にて、患者背景、術前並存症、検査結果、手術要因による術後肺炎のリスク因子を同定した。

<結果>
720人の患者が対象。54人が術後肺炎発症。発症率は7.5%。
術後肺炎患者は、入院日数が長かった。
ロジスティック回帰分析にて術前血清アルブミンレベル(OR5.187)、COPD(OR3.819)、脳卒中の既往(OR3.107)、受傷から手術までの時間(OR1.076)が、術後肺炎発症の独立した予測因子であった。

<考察>
術前の血清アルブミンレベルが、術後肺炎の予測因子であり、COPD、脳卒中の既往、手術までの時間も考慮された。
大腿骨頚部骨折後の手術を行う患者において、術前の血清アルブミンレベルを周術期のモニタリング項目に加えるべきである。